Ben Plotke

resume github

A Timeline of Personal Engineering Projects

17

Trebuchet

Built a 21' trebuchet from scrap in the mountains. Not having internet, I had only this book as my guide. The most helpful parts were the 2 historical drawings.
22

Tetrahedral

Independently proved the tetrahedral angle. Learning basic chemistry at the same time I was taking precalc, I became intrigued by the tetrahedral angle. I then independently developed a proof.
23

Huffman

Dissatisfied with simply making a huffman coder to strings of 1s and 0s, I asked my professor if I could encode bytes to a file. With permission, I made a huffman coder that could take any file and huffman code and decode it.
github
25

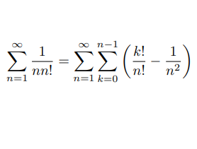
Convergence

Collaborated with pure mathematician. My friend Sam asked me to do a sanity check on his paper. Checking the converging series to a million terms involved one million factorial.
27

Furniture

Having recently moved I needed new furniture. I gathered some scrap wood and used my limited tools and carpentry skills to furnish my room.
30

Intelligence

Applying for jobs, one asked me to take an IQ test. To get practice, I wrote a little program to generate problems for myself.
github